丙烯是工业中合成多种高价值化学品的重要原料。随着页岩气资源的开发,丙烷直接脱氢(PDH)作为满足日益增长的丙烯需求的有效途径,得到了广泛关注。在丙烷脱氢过程中,铂催化剂表现出卓越的催化活性。然而,催化剂因积碳和铂原子烧结导致的快速失活,成为该技术面临的主要挑战。特别是在空气中焙烧除碳时,积碳燃烧的放热效应容易引发热点和局部高温梯度从而加剧铂的烧结。目前的工业再生过程中,使用氯气对铂进行再分散,不仅带来了腐蚀和环境污染,还存在安全隐患。因此,开发兼具高活性、耐烧结和易再生的新型催化材料,成为这一领域科学家们努力的目标。
最近,公司太阳成集团tyc122ccvip陆安慧教授团队借鉴高熵氧化物和合金的优良特性,以活性金属铂(Pt)为研究对象,采用高熵策略分散和锚定铂原子,设计出一种具有高活性、高稳定性且易再生SiO2负载型纳米(MnCoCuZnPt)高熵PDH催化剂。这一研究成果为催化材料的开发提供了新的思路,并展示了高熵策略在催化剂设计中的潜力。相关成果以“An Active and Regenerable Nanometric High-Entropy Catalyst for Efficient Propane Dehydrogenation”为题发表在Angewandte Chemie International Edition期刊上。论文通讯作者是陆安慧教授,第一作者是周淑珍博士。

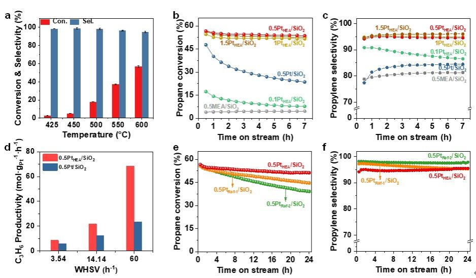
丙烷脱氢催化性能
对于高熵催化剂PtHEA/SiO2,随着温度从425 ℃升高至600 ℃,丙烷转化率呈上升趋势,丙烯选择性均保持在94%以上。在600 ℃时,丙烷的初始转化率高达56.6%,同时丙烯选择性达到94%。与Pt/SiO2催化剂相比,PtHEA/SiO2催化剂展现出优异的活性、选择性和稳定性。此外,在重时空速为60 h-1 时,PtHEA/SiO2催化剂的丙烯产率达到68.5 molC3H6·gPt-1·h-1,显著高于Pt/SiO2催化剂(23.5 molC3H6·gPt-1·h-1),表现出明显的性能优势。已有研究指出,第二种金属的引入能够减缓铂的烧结,从而提高催化剂的稳定性。为进一步探究构型熵对丙烷脱氢反应(PDH)的影响,作者制备了四元MnCuZnPt (0.5PtRef-1/SiO2,ΔSconf = 1.38R)和三元MnZnPt (0.5PtRef-1/SiO2,ΔSconf = 1.05R)催化剂作为对比。在600 ℃和3.54 h-1的WHSV下,三种催化剂初始丙烷转化率均在56%左右,丙烯选择性在94%以上,但稳定性却存在显著差异。其中,0.5PtHEA/SiO2 表现出优异的稳定性,失活速率常数仅为0.009 h-1。相比之下,四元和三元催化剂的失活速率常数依次增加,表现出明显的失活行为。实验结果表明对于MnZnPt、MnCuZnPt和MnCuZnCoPt催化剂,随着构型熵的增加,催化稳定性显著提高。

催化剂结构表征
通过X射线衍射(XRD)和球差电镜(AC-STEM)等对高熵催化剂的颗粒分布情况进行了表征。在高熵催化剂0.5PtHEA/SiO2中,金属颗粒以1-2 nm均匀分散在SiO2载体上,且各种元素在载体上均匀分散。EDS线扫结果和高负载量下金属颗粒的EDS mapping确定了形成的金属颗粒上存在五种金属元素。同时,从AC-STEM-ADF中观察到了在纳米颗粒上原子级分散的Pt位点。

此外,作者也对还原前后样品的电子结构进行了详细的表征。还原前0.5PtHEO/SiO2样品的XPS结果表明在高熵氧化物中金属以Pt4+、Mn2+、Co2+、 Cu2+ 和 Zn2+存在。还原后元素化学态发生了明显变化,其中Mn和Zn以氧化态和金属态共存,Pt、Co和Cu以金属态存在,且Pt、Mn和Co向Cu和Zn发生了电子转移。Pt 4f的XPS结果表明:与Pt/SiO2相比,PtHEA/SiO2催化剂中Pt的价态相对较高。Pt/SiO2 和 PtHEA/SiO2 的Pt L3 边 X 射线近边吸收结构 (XANES)显示两种催化剂的Pt L3 边 XANES 光谱与Pt foil非常相似,与 PtO2 截然不同,表明铂为零价金属态。0.5PtHEA/SiO2 的白线强度略高于 0.5Pt/SiO2,表明PtHEA/SiO2催化剂中存在带正电荷的铂原子。扩展X射线吸收精细结构(EXAFS)结果显示,在0.5PtHEA/SiO2催化剂中仅检测到Pt与其它金属(Mn/Co/Cu/Zn)的配位,未检测到Pt-Pt配位,表明在高熵纳米颗粒中Pt原子被其它元素充分隔离。

反应后催化剂表征
TG分析表明,在相同条件下反应24 h后,0.5PtHEA/SiO2、0.5PtRef-1/SiO2和0.5PtRef-2/SiO2上的积碳分别为4.7 wt.%、2.0 wt.%和1.6 wt.%。随着Cu和Co元素的依次引入来增强催化剂的构型熵,失活速率常数显著降低,但积碳量略有增加。TEM结果显示,0.5PtHEA/SiO2催化剂仍以1-2 nm均匀分散在载体上,而5PtRef-1/SiO2和0.5PtRef-2/SiO2则发生了不同程度的团聚,表明0.5PtHEA/SiO2催化剂具有良好的耐高温烧结性能。

催化剂再生循环能力和长效稳定性
作者还对催化剂的再生循环稳定性进行了测试。在每次反应后,0.5PtHEA/SiO2催化剂在500 ℃空气中处理30 min,然后在600 ℃ 20% H2/Ar下还原。连续4次再生后,丙烷转化率仅从37.5%下降到34.4%,具有较好的循环稳定性。值得注意的是,即使经过4次氧化还原再生循环后,催化剂仍然保持了和新鲜催化剂一样非常弱的衍射峰,表明烧结的程度很小,通过AC-STEM-ADF也证实了这一点。EXAFS光谱中也未检测到Pt-Pt键的峰,表明没有发生Pt原子的烧结。

此外,在550 ℃和不存在氮气稀释的反应条件下,初始丙烷转化率为19.5%,丙烯选择性为88.6%。在反应200 h后,丙烷转化率仍在18.1%以上,丙烯选择性为93%,失活速率常数仅为0.0004 h-1。AC-STEM-ADF结果表明,长时间反应后金属颗粒仍以1-2 nm均匀分散在SiO2载体上,没有发生任何烧结;XPS结果显示金属元素的化学态未发生明显变化;TG结果显示反应200 h后催化剂的积碳量仅为4.3 wt.%;这些结果表明0.5PtHEA/SiO2催化剂具有显著的抗积碳性和结构稳定性。

该工作开发的用于丙烷脱氢制丙烯的高活性、高稳定性且易再生的新型高熵催化剂为丙烷脱氢催化剂的设计开辟了新的路径,并为苛刻条件下金属纳米颗粒的稳定提供了新思路。此外,这项研究为设计合成优异性能的高熵催化剂提供了新的视角,推进了其在热催化相关应用中的研究进程。研究工作得到国家重点研发计划、国家自然科学基金等项目的支持。
相关论文信息:https://doi.org/10.1002/anie.202410835