太阳成集团tyc122ccvip
学术科研
研究进展
当前位置: 首页 >> 学术科研 >> 科研成果 >> 研究进展 >> 正文

染料敏化太阳能电池电解质材料研究取得新进展



时间:2021-05-17 来源:太阳成集团tyc122ccvip 点击:[]

近几年,基于铜配合物电解质的染料敏化太阳能电池(DSC)取得了突破性进展,在室内光照条件下获得了高于34%的光电转换效率然而,该电解质体系的一个亟待解决的关键问题是路易斯碱添加剂4-叔丁基吡啶,TBP会破坏普遍使用的基于双齿联吡啶和邻菲罗啉配体的二价铜配合物结构,因此制约器件的长时间稳定性和光电转换效率的进一步提升。

近日,精细化工国家重点实验室孙立成院士团队于泽教授在前期研究的基础上(ACS Appl. Mater. Interfaces 2018, 10, 30409-30416; J. Mater. Chem. A 2019, 7, 12808-12814),设计合成了一种新型五齿氮配位结构的铜配合物,并作为电解质用于染料敏化太阳能电池中。基于该电解质的DSC器件表现出非常出色的长时间光照稳定性,同等条件下大大优于目前广泛采用的4,4',6,6'-四甲基-2,2'-联吡啶(tmby)配体。

 

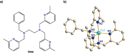
1atme配体分子结构;(b[Cu(tme)]2+配合物晶体结构

设计五齿配体的目的之一是利用配体的螯合效应有效阻挡路易斯碱添加剂对二价铜配合物的配位,从而提高其稳定性。通过电化学循环伏安、紫外可见吸收光谱和电子顺磁共振波谱证实了TBP的添加并没有影响该二价铜配合物的配位环境。然而,基于tmby配体的二价铜配合物结构受到了TBP严重的破坏。

 

2 [Cu(tme)]2+[Cu(tmby)2]2+50 mM)加入一个摩尔当量TBPEPR谱图(均为二氯甲烷溶液)

作者进一步测试了基于[Cu(tme)]2+/+[Cu(tmby)2]2+/+电解质的DSC器件的长时间光照稳定性。在标准AM 1.5G太阳光下连续运行400小时后,基于[Cu(tme)]2+/+电解质的器件表现出优异的稳定性,仍然保持超过90%的初始效率。同等条件下,基于联吡啶配体电解质的器件仅仅维持了不到80%。其中一个主要的原因是TBP的加入对基于[Cu(tme)]2+/+电解质器件的对电极阻抗(counter electrode resistance)和电解质扩散阻抗(diffusion resistance)的影响微乎其微,减少了填充因子的损失,从而提升了器件的长时间稳定性。这类新型铜配合物电解质表现出诸多优异的性质,例如较小的开路电压损失、几乎可忽略的可见光竞争吸收以及对于近红外染料较大的再生驱动力等,为进一步开发高效和高稳定的染料敏化太阳电池提供了一个新的思路。

 

3基于[Cu(tme)]2+/+[Cu(tmby)2]2+/+电解质DSC器件连续光照稳定性测试效率变化图

上述研究成果以题为Stable Dye-Sensitized Solar Cells Based on Copper(II/I) Redox Mediators Bearing a Pentadentate Ligand”发表在Angew. Chem. Int. Ed.并被选为VIP (Very Important Paper)论文()。论文的第一作者是太阳成集团tyc122ccvip官网入口硕士研究生芮海龙和常熟理工公司沈骏宇博士,通讯作者为太阳成集团tyc122ccvip官网入口的孙立成教授和于泽教授。研究工作得到了国家自然科学基金和中央高校基本科研业务费的资金支持。

上一条:不对称配位策略构筑光诱导高矫顽场单链磁体 下一条:煤炭高效清洁利用团队在固体13C核磁共振定量表征煤结构与煤热解过程孔隙结构演变模型方面研究进展

关闭