太阳成集团tyc122ccvip
学术科研
研究进展
当前位置: 首页 >> 学术科研 >> 科研成果 >> 研究进展 >> 正文

不对称配位策略构筑光诱导高矫顽场单链磁体



时间:2021-05-19 来源:太阳成集团tyc122ccvip 点击:[]


分子纳米磁体具有慢磁弛豫,磁存储效应和内禀的量子行为,被认为在超高密度信息存储,量子计算和自旋电子器件中具有广阔的应用前景。光诱导激发自旋态捕获(LIESST)可以利用光引发金属离子中心高低自旋态的转变(SCO)和金属离子间磁交换作用通道的开关,为光调控分子纳米磁体行为提供了新的策略。然而,SCOLISEET行为对配位环境非常敏感,基于光调控自旋转变基元的组装合成具有高矫顽场的分子纳米磁体,并对其磁化状态进行快速可逆切换仍面临众多难点与挑战。

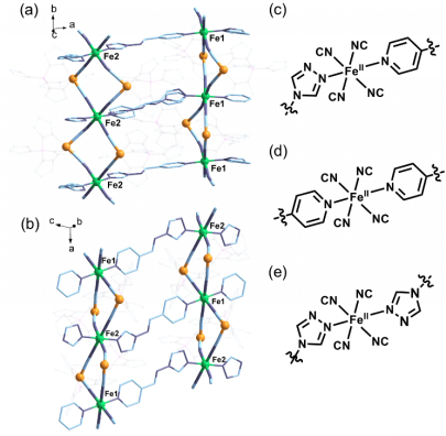
近日,太阳成集团tyc122ccvip官网入口精细化工国家重点实验室刘涛教授课题组通过引入不对称配体PmatN-(4H-1,2,4-三唑-4-)-吡啶-4-甲醛亚胺),利用多氰合铁建筑单元与自旋交叉基元自组装,获得了两例氰基桥联的双zig-zagFe自旋交叉配合物,并对其结构和光磁性质进行了深入研究

 

单晶X射线衍射表明1·12H2O中含有两种不同的氰基桥连{FeIII2FeII}自旋链。由于不对称配体Pmat的引入,FeII离子分别与一个吡啶N原子和一个三氮唑N原子配位,形成不对称配位环境。直流磁化率和穆斯堡尔谱测试表明1·12H2O具有完全的热诱导自旋交叉行为。经808 nm光照后,1·12H2O中的低自旋{FeIIILS–CN–FeIILS–NC–FeIIILS}单元转变为高自旋{FeIIILS–CN–FeIILS–NC–FeIIILS}单元,链内磁交换作用通道被打开。交流磁化率测试显示808-nm光照后的1·12H2O表现出频率依赖的慢磁弛豫行为,翻转能垒为101 K,有效链长度为23,是一例光诱导单链磁体。相较于光照前的顺磁行为,光照后的1·12H2O表现出开口型磁滞回线,矫顽场为1.3 T1·12H2O1a的对比分析表明,FeII离子配位环境的不同是导致他们光磁行为差异的原因。FeII离子的不对称配位环境不仅影响了零场分裂值的大小,而且对链内FeII离子磁易轴的排列取向具有显著作用。二者共同决定了自旋链的磁各向异性。该工作表明了在基于3d金属的光诱导分子纳米磁体中实现磁滞双稳态的可行性,为进一步设计高矫顽场的光开关分子纳米磁体提供了新思路。

 

相关工作以题为Asymmetric Coordination Toward a Photoinduced Single-Chain Magnet Showing High Coercivity Values发表在Angew. Chem. Int. Ed. (2021, 60, 10537-10541)上。论文的第一作者为博士研究生刘强,通讯作者为太阳成集团tyc122ccvip官网入口的孟银杉副研究员刘涛教授。研究工作得到了国家自然科学基金和太阳成集团tyc122ccvip官网入口的支持。


上一条:MFI沸石晶种微观结构调控用于高性能膜材料制备 下一条:染料敏化太阳能电池电解质材料研究取得新进展

关闭